文章
  • 文章
搜索
首页 >> 园区动态 >>行业动态 >> 旗锐政策慧丨2024年度广州市黄埔区质量强区专项扶持资金可领取
详细内容

旗锐政策慧丨2024年度广州市黄埔区质量强区专项扶持资金可领取

时间:2024-06-06     【转载】

广州市黄埔区市场监督管理局 广州开发区市场监督管理局关于领取2024年度广州市黄埔区 广州开发区质量强区专项扶持资金的通知

各有关企事业单位:

经审核,广州白云山中一药业有限公司等264家企事业单位申报的308项质量强区专项资金扶持项目(含免申即享项目)符合《广州市黄埔区 广州开发区质量强区专项资金管理办法》(穗埔府规〔2019〕17号,穗埔市监规字〔2023〕1号)要求,按规定予以发放专项扶持资金人民币叁仟伍佰柒拾玖万玖仟玖佰壹拾元整(35799910.00元)。各单位获得扶持金额见附件。现将领取专项资金相关事项通知如下:

一、办理时间

2024年6月5日至2024年6月12日。

二、办理方式

获得项目扶持的企业请于上述办理时间内,登陆“黄埔兑现通-政策兑现综合服务平台”(https://zcdx.gdd.gov.cn/wedPc/),按办事指南要求上传《收款确认函》(收款确认函模板请登陆平台在进度查询详情界面下载),在线办理资金拨付申请。获得免申即享类项目扶持的企业需同步上传《收款确认函》及《承诺书》。

三、注意事项

(一)资金拨付手续逾期未办理的,视为放弃资格。

(二)扶持资金需专款专用,主要用于质量培训、质量改进、品牌推广、科技攻关、认证活动等质量活动和人员奖励等,并自觉接受监督检查。对作出突出贡献的个人和团队的奖励总金额不得超过当年获得扶持总额的50%。企业和个人税务办理由领取单位负责。

(三)按照规定,每年获得扶持金额10万元以上的单位需在资金领取后半年内向区质量强区办提交资金使用绩效自评报告,包括项目扶持资金专账管理、使用计划和实际使用情况、项目进度和绩效情况等相关内容,配合接受绩效相关抽查。具体时间及要求另行通知。

四、联系方式

(一)政策兑现窗口:联系电话:82114062;邮箱:zcdx@gdd.gov.cn

(二)区市场监督管理局联系方式:

1.质量发展科:联系电话:22322918

2019版政策项目:政府质量奖资助、中国机器人认证资助、国际质量管理小组活动资助。

2023版政策项目:卓越绩效模式扶持、区级质量管理小组发布赛扶持、质量推广扶持、质量基础技术服务扶持、中国机器人认证扶持、国际质量管理小组活动竞赛扶持。

2.标准化科:联系电话:22205862、22322878

2023版政策项目:企业标准“领跑者”扶持、中国标准创新贡献奖扶持、对标达标扶持、质量标准基础设施建设扶持、标准化国际奖项扶持、标准制修订(不含团体标准)扶持、团体标准制修订扶持、承担专业标准化技术委员会机构工作扶持、标准化良好行为扶持。

3.计量科:联系电话:22205880

2019版政策项目:测量管理体系认证资助、重点项目配套实验室CNAS认可资助。

2023版政策项目:重点项目配套实验室CNAS认可扶持、标准物质标准样品研制生产扶持。

4.医疗器械科:联系电话:83275531

2023版政策项目:医疗器械标准制修订扶持。

5.生物医药服务科:联系电话:82026521

2019版政策项目:药品GMP认证(含国际GMP检查)资助。

2023版政策项目:药品GMP扶持(含国际GMP检查-药品、医疗器械)、药品标准制修订扶持。

附件:

1.2024年度质量强区专项资金扶持项目名单-2019年版政策期(免申即享项目)

640.webp.jpg

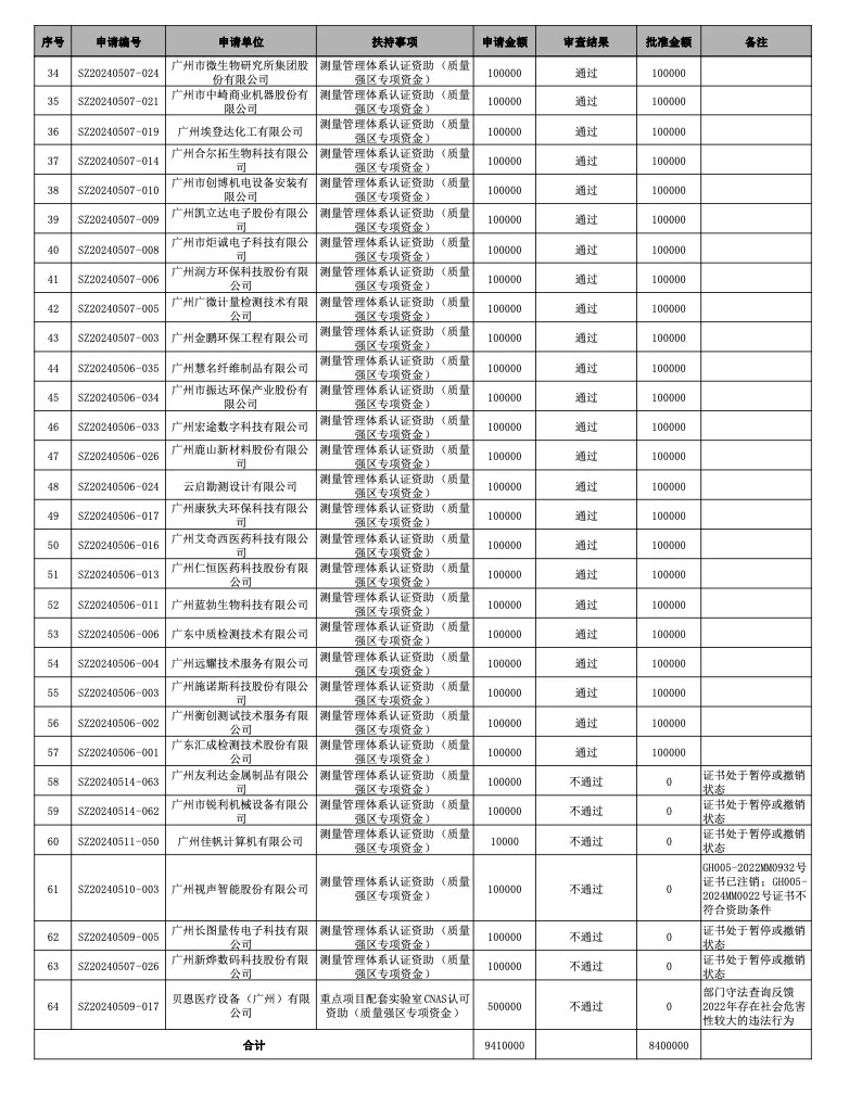
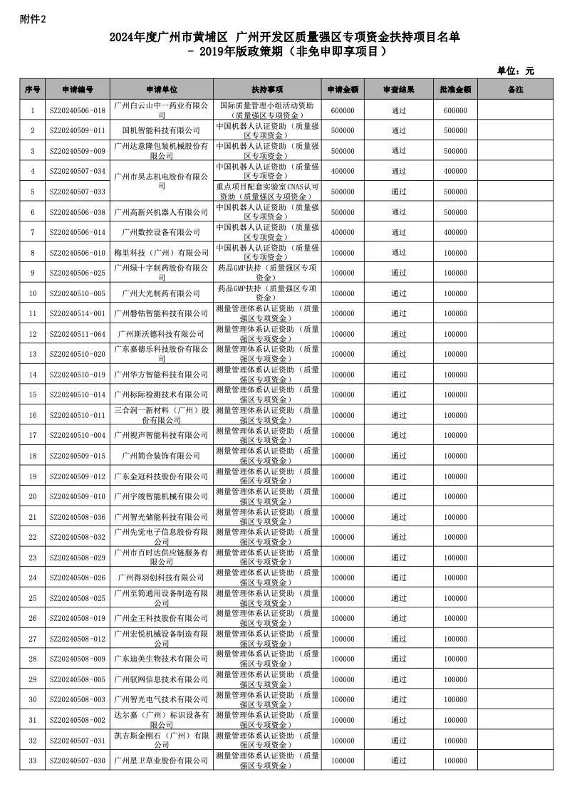
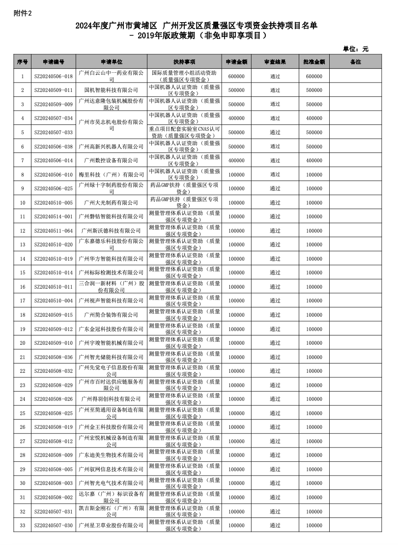
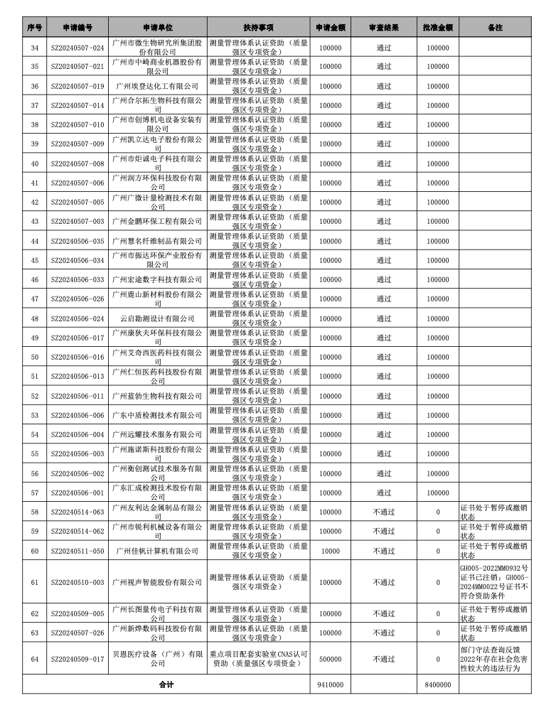
2.2024年度质量强区专项资金扶持项目名单-2019年版政策期(非免申即享项目)

640.webp (1).jpg
640.webp (4).jpg

上下滑动查看内容

3.2024年度质量强区专项资金扶持项目名单-2023年版政策期(免申即享项目)

640.webp (2).jpg

上下滑动查看内容

4.2024年度质量强区专项资金扶持项目名单-2023年版政策期(非免申即享项目)

640.webp (3).jpg

上下滑动查看内容

广州市黄埔区市场监督管理局

广州开发区市场监督管理局

2024年6月4日

【免责声明】本网站部分图片、文字及观点,来源于互联网及其他公众平台,版权归原作者所有,如涉及侵权请予以告知,我们会在24小时内将相关内容删除,谢谢。

seo seo